中国太平洋保险(集团)股份有限公司2022年度报告摘要



展开全文










第一节 重要提示
1 本年度报告摘要来自年度报告全文,为全面了解本公司的经营成果、财务状况及未来发展规划,投资者应当到网站仔细阅读年度报告全文理财分享。
2 公司董事会、监事会及董事、监事、高级管理人员保证年度报告内容的真实、准确、完整,不存在虚假记载、误导性陈述或重大遗漏,并承担个别和连带的法律责任理财分享。
3 公司全体董事出席董事会会议理财分享。
4 安永华明会计师事务所(特殊普通合伙)为本公司出具了标准无保留意见的审计报告理财分享。
5 董事会决议通过的本报告期利润分配预案或公积金转增股本预案
公司2022年度经审计的按中国企业会计准则编制的合并财务报表归属于母公司股东的净利润为246.09亿元,母公司财务报表净利润为130.20亿元理财分享。根据《公司章程》及其他相关规定,法定盈余公积金累计额为公司注册资本的50%以上的,可以不再提取。在结转上年度未分配利润后,2022年末中国企业会计准则母公司财务报表未分配利润为447.96亿元。
因此,公司2022年度利润分配以经审计的母公司财务报表数为基准,拟根据总股本9,620,341,455股,按每股1.02元(含税)进行年度现金股利分配,共计分配9,812,748,284.10元,剩余部分的未分配利润结转至2023年度理财分享。公司本年度不实施资本公积金转增股本。
现金股利分配后,集团偿付能力充足率无重大影响,仍满足监管要求理财分享。
公司近三年未实施资本公积金转增股本理财分享。
上述利润分配方案尚待股东大会批准理财分享。
第二节 公司基本情况
1 公司简介
2 报告期公司主要业务简介
2022年,全国保险行业实现原保费收入4.70万亿元,同比增长4.6%理财分享。其中,人身保险公司原保费收入3.21万亿元,同比增长2.8%;财产保险公司原保费收入1.49万亿元,同比增长8.7%。按原保费收入计算,太保寿险、太保产险分别为中国第三大人寿保险公司和第三大财产保险公司。
公司是中国领先的综合性保险集团,围绕保险产业链,通过旗下子公司提供各类风险保障、财富规划以及资产管理等产品和服务理财分享。
公司主要通过太保寿险为客户提供人身保险产品和服务;通过太保产险、太平洋安信农险为客户提供财产保险产品和服务;通过太平洋健康险为客户提供专业的健康险产品及健康管理服务;通过太保资产开展保险资金运用以及第三方资产管理业务;通过长江养老开展养老金管理及相关资产管理业务;通过太保资本开展私募股权投资基金管理服务;通过国联安基金开展公募基金管理业务;公司还通过太保科技提供市场化科技赋能支持和服务理财分享。
3 公司主要会计数据和财务指标
3.1 近3年的主要会计数据和财务指标
单位:百万元 币种:人民币
注:
1、截至2022年12月31日止12个月期间及截至2021年12月31日止12个月期间,按照中国会计准则编制的合并财务报表中营业收入分别为人民币455,372百万元和人民币440,643百万元;若按照香港财务报告准则编制的合并财务报表,收入合计分别为人民币448,852百万元和人民币436,331百万元,该差异系本集团根据中国企业会计准则编制的合并财务报表中对营业收入的列报口径与香港财务报告准则编制的合并财务报表中对收入合计的列报口径不同导致理财分享。
2、以归属于本公司股东的数据填列理财分享。
3.2 报告期分季度的主要会计数据
单位:百万元 币种:人民币
季度数据与已披露定期报告数据差异说明
□适用 √不适用
4 股东情况
4.1 报告期末及年报披露前一个月末的普通股股东总数、表决权恢复的优先股股东总数和持有特别表决权股份的股东总数及前10名股东情况
单位:股
注:
1、截至报告期末,本公司未发行优先股理财分享。
2、前十名股东持股情况根据中国证券登记结算有限责任公司上海分公司(A股)和香港中央证券登记有限公司(H股)的登记股东名册排列,A股股东性质为股东在中国证券登记结算有限公司上海分公司登记的账户性质理财分享。
3、香港中央结算(代理人)有限公司所持股份为代客户持有理财分享。因联交所并不要求客户向香港中央结算(代理人)有限公司申报所持有股份是否有质押及冻结情况,因此香港中央结算(代理人)有限公司无法统计或提供质押或冻结的股份数量。根据《证券及期货条例》第XV部的规定,当其持有股份的性质发生变化(包括股份被质押),大股东要向联交所及公司发出通知。截至报告期末,公司未知悉大股东根据《证券及期货条例》第XV部发出的上述通知。
4、香港中央结算有限公司为沪港通股票的名义持有人理财分享。
5、Citibank, National Association为本公司GDR存托人,GDR对应的基础证券A股股票依法登记在其名下理财分享。根据存托人统计,截至报告期末本公司GDR存续数量为29,804,011份,占中国证券监督管理委员会核准的GDR实际发行数量的26.69%。
6、上海国际集团有限公司还通过沪港通持有公司H股股票207,938,200股,并登记在香港中央结算(代理人)有限公司名下理财分享。报告期内,上海国有资产经营有限公司增持了本公司股份。详情请参见本公司分别于2022年5月23日及2022年10月17日发布的《关于持股5%以上股东增持本公司股份达到1%的提示性公告》及《关于自愿披露持股5%以上股东增持本公司股份的公告》。
4.2 公司主要股东情况
本公司股权结构较为分散,公司主要股东的各个最终控制人都无法实际支配公司行为,因此本公司不存在控股股东,也不存在实际控制人理财分享。
截至报告期末理财分享,持有本公司5%以上股份的股东有:
1、申能(集团)有限公司
申能(集团)有限公司成立于1996年11月18日,法定代表人为黄迪南,注册资本为200亿元理财分享。该公司经营范围为一般项目:电力、能源基础产业的投资开发和经营管理,天然气资源的投资开发,城市燃气管网的投资,高科技产业投资管理,实业投资,资产经营,国内贸易(除专项规定)。
2、华宝投资有限公司
华宝投资有限公司成立于1994年11月21日,法定代表人为胡爱民,注册资本为93.69亿元理财分享。该公司经营范围为对冶金及相关行业的投资及投资管理、投资咨询、商务咨询服务(除经纪)、产权经纪,是中国宝武钢铁集团有限公司的全资子公司。
3、上海国有资产经营有限公司
上海国有资产经营有限公司成立于1999年9月24日,法定代表人为管蔚,注册资本为55亿元理财分享。该公司经营范围为实业投资、资本运作、资产收购、包装和出让、企业和资产托管、债务重组、产权经纪、房地产中介、财务顾问、投资咨询及与经营范围相关的咨询服务,与资产经营、资本运作业务相关的担保。
截至报告期末理财分享,持有本公司5%以上股份的股东的最终控制人与公司之间关系图如下:
注:
1、中国宝武钢铁集团有限公司及其控制的华宝投资有限公司合计持有1,353,096,253股A股,占公司总股本的比例为14.06%理财分享。
2、上海国有资产经营有限公司及其子公司上海国鑫投资发展有限公司均受上海国际集团有限公司的控制,前述主体合计持有802,954,107股A股,合计占公司总股本的比例为8.35%理财分享。
4.3 报告期末公司优先股股东总数及前10名股东情况
□适用 √不适用
4.4 公司债券情况
□适用 √不适用
第三节 重要事项
1 公司应当根据重要性原则,披露报告期内公司经营情况的重大变化,以及报告期内发生的对公司经营情况有重大影响和预计未来会有重大影响的事项理财分享。
□适用 √不适用
2 报告期内主要经营情况
2.1董事长致辞
时光荏苒,岁月如梭理财分享。在不容易的2022年里,中国太保面对外部环境各种不确定因素的考验,以更多自身的确定性收获了珍贵的经营成绩。公司全年实现保险业务收入3,988.18亿元,同比增长8.7%;集团归母营运利润401.15亿元,同比增长13.5%;截至2022年末,集团合并总资产达21,762.99亿元,较上年末增长11.8%,公司综合经营能力持续增强。
一代人有一代人的使命,一代人有一代人的担当理财分享。回顾公司的发展历程,正是得益于一代代太保人的锐意进取、苦干实干,汇聚成转型改革的澎湃力量,中国太保才能跨越市场周期的高峰和低谷,凭借稳健的经营表现和市场地位,成为中国保险市场中的头部企业,书写了“诚信天下、稳健一生、追求卓越、创新共赢”的太保奋斗史。今天,中国太保已经成为一家综合性保险服务集团,旗下机构不仅包括覆盖保险全价值链的各保险子公司,还进一步延伸到健康、养老等上下游产业的相关领域。与过去相比,我们改变了很多,但我们似乎从来也没有改变过,因为我们一直在坚持着自己的坚持,改变着自己的改变。走长期主义道路,稳续努力打造高质量发展的标杆。
我们坚守价值核心,将高质量发展作为立身之本理财分享。把握不同阶段市场环境的特点,因时因势做好发展谋划,在不同周期下实现价值持续增长的最优路径。无论是车险综改的挑战,还是新能源车险、新兴市场的发展机遇,我们始终坚持提质增效,实现良好承保盈利水平下的高速发展;面对寿险新业务价值增长乏力的态势,我们确立以代理人渠道为核心的多元渠道布局,把握银保客户发展机遇;面对资本市场的波动和信用风险的加剧,我们坚持基于保险负债特性并穿越宏观经济周期的资产配置,投资业绩表现强韧。同时,我们不断优化考核牵引机制,把价值增长放在更加突出的位置,实现了内含价值的稳健增长和资产回报水平的稳定向好。
我们坚信长期主义,将坚韧与利他作为发展理念理财分享。以长期眼光做出面向未来的正确选择,遵循行业规律做好战略谋划、探索战略空间、增厚战略储备。我们启动寿险“长航”转型,推行“芯”基本法,正是要破除代理人管理的短期化、即期性问题,驱动代理人队伍发展模式深度转变,逐步形成与公司长期合作,共同成长的局面。转型推进以来,代理人队伍建设呈现向好趋势,核心人力产能、收入稳步提升,职业化、专业化、数字化理念逐步深入人心。我们坚持可持续发展理念,践行企业对于社会的责任,推动ESG理念深度融入公司价值观,将绿色保险、绿色投资、绿色运营纳入公司经营实践,打造太保蓝、太保红、太保绿等社会责任图谱,为增进社会共同福祉贡献太保力量。
我们坚持稳健经营,将底线思维贯穿于经营全流程理财分享。全面统筹发展与安全,确保公司在正确的道路上行稳致远。我们坚持发挥董事会决策对公司发展的战略牵引作用,不断完善法人治理体系,顺应国家改革发展要求打造更优的公司治理实践。我们筑牢一道防线,推动风险管理与经营活动加快融合,建立集团上下统一的风控政策和标准,太保产险、太保寿险、太平洋健康险全面风险管控能力持续保持行业领先。
玉色深不变,井水挠不移理财分享。与国家同行,与时代同进,与人民共情,是中国太保永远不变的追求,我们牢牢把握“不忘初心,固守本源”的坚持与“深化改革,转型升级”的改变,持续做精做深保险主业,紧跟时代步伐谋篇布局、开拓创新、精准施策。
应时代而变,我们推进“大健康”战略理财分享。我们要在“太保家园”、“太保蓝本”、“太医管家”、“源申康复”等服务品牌基础上,丰富健康服务产业链布局,打造覆盖客户全生命周期健康管理生态圈,锻造行业领先的客户体验。立足于对客户变化的洞察与把握,我们要在线上客户经营破局、管理式医疗产品创新、健康促进服务起步的基础上,聚焦健康管理、医疗、养老等领域人才建设,锻造基于专业能力的市场竞争优势。我们要拓展大健康产业链资产端布局,通过大健康产业基金的投建进一步赋能主业,发现并铸就新的增长极。
应发展而变,我们推进“大区域”战略理财分享。我们要牢牢把握国家区域战略政策机遇,完善区域发展支持机制,积极聚合区域内产业上下游合作伙伴,为公司高质量发展构筑新的增长力。在“大区域”上我们将进一步完善协同管理体系和能力的建设,优化重点区域资源布局,深耕总部经济模式,探索形成基于客群特征的一体化产品服务体系,持续巩固集团全牌照、全链条的综合优势。
应趋势而变,我们推进“大数据”战略理财分享。我们要以精准为用,在数据中心投产使用、数据治理机制建设的进程中,加快推进数据集中与共享,提升基于数据驱动的客户洞见,为业务决策创造数智基础。我们将以赋能为魂,基于大数据基础和技术全面加快经营管理的数字化转型步伐,尤其加大ChatGPT等人工智能前沿创新应用落地,真正让科技创新成为公司长期发展不竭动力。
寒冬已过,春暖花开理财分享。2023年是全面贯彻中国共产党二十大精神的开局之年,融入中国式现代化进程,建设保险业现代化,是中国保险业新的时代命题。我们将坚定不移以“行业健康稳定发展的引领者”为公司发展愿景,始终保持着对行业发展规律的敬畏,稳中求进,稳中求精,在新时代的高质量发展中不断丰富保险服务内涵,凝聚奋进力量,答好时代之问,全力谱写好中国太保高质量发展新篇章!
2.2 经营业绩回顾与分析
公司业务概要
一、主要业务
公司是中国领先的综合性保险集团,围绕保险产业链,通过旗下子公司提供各类风险保障、财富规划以及资产管理等产品和服务理财分享。
公司主要通过太保寿险为客户提供人身保险产品和服务;通过太保产险、太平洋安信农险为客户提供财产保险产品和服务;通过太平洋健康险为客户提供专业的健康险产品及健康管理服务;通过太保资产开展保险资金运用以及第三方资产管理业务;通过长江养老开展养老金管理及相关资产管理业务;通过太保资本开展私募股权投资基金管理服务;通过国联安基金开展公募基金管理业务;公司还通过太保科技提供市场化科技赋能支持和服务理财分享。
2022年,全国保险行业实现原保费收入4.70万亿元,同比增长4.6%理财分享。其中,人身保险公司原保费收入3.21万亿元,同比增长2.8%;财产保险公司原保费收入1.49万亿元,同比增长8.7%。按原保费收入计算,太保寿险、太保产险分别为中国第三大人寿保险公司和第三大财产保险公司。
二、合并报表中变化幅度超过30%的重要项目及原因
单位:人民币百万元
三、核心竞争力
公司是中国领先的综合性保险集团,位列2022年《财富》世界500强第182位理财分享。公司坚守价值、坚信长期,不断做精做深保险主业,聚焦重点领域和关键环节,持续深化转型改革,积极打造高质量发展新高地。公司整体业绩稳健增长,市场地位持续稳固,综合实力不断提升,服务实体经济和社会民生质效进一步增强。
专注
公司专注保险主业,拥有涵盖人寿保险、财产保险、养老保险、健康保险、农业保险和资产管理的保险全牌照,围绕主业多业务板块均衡发展,重构“产品+服务”的保险价值链,专业化能力建设持续增强理财分享。人身险板块持续深化“长航”转型,驱动发展模式转变,“芯”基本法稳步推进,职业化营销、价值银保有序落地。产险板块服务新发展格局,持续强化风险品质管控,深入推进个人客户经营,优化政府及企业业务模式,客户经营能力稳步提升。资产板块坚持“价值投资、长期投资、稳健投资、责任投资”,优化资产负债管理机制,持续强化投研能力建设,基于负债特性的大类资产配置能力和专业投资能力领先行业。
稳健
公司经营风格稳健,坚持“稳增保障、控降风险、保险为民”的理念理财分享。公司拥有卓越的董事会和经验丰富的管理团队,形成了各司其职、各负其责、协调运转、有效制衡的现代化公司治理机制。公司有序推进监管新政落地实施,进一步夯实法人治理主体责任,升级全面风险管理和内控合规能力,健全集团一体化管控体系,搭建了全新偿二代二期风险管理体系,积极开展风险减量管理,有效保障公司持续健康发展。
创新
公司坚持客户导向,持续推进转型升级,培育高质量发展新动能理财分享。健养生态圈布局加速,覆盖养老、未病、已病、康复的全场景健康养老服务体系逐步建立,“太保家园”、“太医管家”、“源申康复”系列品牌陆续推出,健康养老服务能力快速提升。大数据体系建设推进加快,一云多芯新云顺利建成投产,经营管理数字化转型加速,数据管理能力持续夯实,78项专利和61项软件著作权申请获得受理,自主研发能力持续增强。区域战略持续向纵深推进,聚焦重点区域持续完善区域发展协同机制,有效增强区域发展动能,为公司高质量发展构筑新的增长极。确立ESG战略管理框架,建设ESG管理体系和体制机制,推动可持续保险发展,构建可持续资产负债管理及投资管理体系,加强可持续运营体系建设。
责任
公司坚守对客户、员工、股东和社会的责任,积极响应国家战略,服务实体经济和人民美好生活理财分享。拓展“防贫保”等脱贫攻坚成果,接续推进乡村全面振兴。大力发展普惠保险、长护保险,积极融入社会医疗养老保障体系建设。健全消费者保护体系,建设客户服务体验闭环管理机制,太保服务“责任、智慧、温度”的品牌影响力持续提升。推进新能源车等保险产品和服务创新,加大对清洁能源等项目的投资建设,助力社会实现绿色低碳转型。开展品牌化公益活动,关爱特殊人群和弱势群体。积极回馈投资者,与股东分享公司发展成果。
业绩概述
中国太保坚持专注保险主业,坚守价值,坚信长期,持续深化以客户需求为导向的转型,加快健康、养老产业布局,着力推动高质量发展,总体经营业绩积极向好,公司综合实力持续增强理财分享。
一、市场环境及应对
2022年,我国经济社会发展经受了世界变局加快演变、国内经济下行压力等多重考验理财分享。保险行业面临深度转型,新增长动能亟待拓展,新发展模式尚待建立,行业监管不断强化,对险企经营管理提出更高要求。
面对前所未有的复杂局面,公司坚定高质量发展理念,牢牢把握了发展的主动权理财分享。一方面,主动作为、科学研判、动态施策,确保了公司核心功能安全平稳运行。另一方面,保持定力,深化主业经营,进一步发挥产、寿险业务均衡发展的保险集团优势,在太保寿险仍处在转型攻坚时,太保产险实现了高质量发展,助力集团净利润的稳定。太保寿险全面推进“长航”转型,驱动发展模式转变;太保产险着力提升客户经营能力,积极拓展新发展动能;资产板块持续完善穿越宏观经济周期的资产负债管理机制,提升专业投资能力。同时,加速健养生态圈布局,推进大湾区等重点区域转型创新,加快推动大数据体系建设,不断提升“太保服务”能级。
二、经营业绩
2022年,集团实现营业收入4,553.72亿元,其中保险业务收入3,988.18亿元,同比增长8.7%理财分享。集团净利润^[注1]为246.09亿元,同比下降8.3%;集团营运利润^[注1、2]为401.15亿元,同比增长13.5%。集团内含价值为5,196.21亿元,较上年末增长4.3%,其中集团有效业务价值^[注3]为2,214.79亿元,较上年末增长4.9%。寿险业务一年新业务价值为92.05亿元,同比下降31.4%。新业务价值率11.6%,同比下降11.9个百分点。财产险业务^[注4]综合成本率为97.3%,同比下降1.8个百分点。集团投资资产净值增长率为2.3%,同比下降3.1个百分点。2022年末,集团客户数达17,053万,较上年末增长213万。
寿险新保实现高速增长理财分享,新业务价值季度同比增速逐季向好
● 寿险保险业务收入2,253.43亿元,同比增长6.5%理财分享。其中,新保业务增速35.8%;
● 实现新业务价值92.05亿元,同比下降31.4%,其中,下半年同比增长13.5%理财分享。新业务价值率11.6%,同比下降11.9个百分点;
● 寿险营运利润308.35亿元,同比增长9.1%;剩余边际余额3,401.62亿元,较上年末下降2.3%理财分享。
财产险业务^[注4]综合成本率明显改善理财分享,保费收入实现较快增长
● 综合成本率97.3%,同比下降1.8个百分点理财分享。其中,综合费用率28.9%,同比下降0.4个百分点;综合赔付率68.4%,同比下降1.4个百分点;
● 保险业务收入1,725.83亿元,同比增长11.6%理财分享。其中,非车险业务收入同比增长18.8%,占比达43.2%,提升2.6个百分点;
● 车险强化客户经营能力建设,客户黏度持续提升;非车险业务品质改善,同时责任险、健康险、农业险等新兴领域保持较快增长理财分享。
坚持基于保险负债特性的战略资产配置理财分享,积极应对市场大幅波动,投资业绩整体表现强韧
● 固定收益类投资占比73.9%理财分享,较上年末下降1.8个百分点;权益类投资占比22.0%,较上年末上升0.8个百分点,其中核心权益^[注5]占比11.5%,较上年末上升0.4个百分点;
● 实现集团投资资产净值增长率2.3%理财分享,同比下降3.1个百分点;总投资收益率4.2%,同比下降1.5个百分点;净投资收益率4.3%,同比下降0.2个百分点;
● 集团管理资产达27,242.30亿元,较上年末增长4.7%;其中,第三方管理资产规模为6,979.47亿元,较上年末下降11.6%理财分享。
注:
1、以归属于本公司股东的数据填列理财分享。
2、营运利润以财务报表净利润为基础,剔除短期波动性较大的损益表项目和管理层认为不属于日常营运收支的一次性重大项目理财分享。
3、以集团应占寿险扣除偿付能力额度成本后的有效业务价值填列理财分享。
4、财产险业务包括太保产险、太平洋安信农险及太保香港理财分享。
5、包括股票和权益型基金理财分享。
三、主要指标
单位:人民币百万元
注:
1、以集团应占寿险扣除偿付能力额度成本后的有效业务价值填列理财分享。
2、以归属于本公司股东的数据填列理财分享。
3、集团客户数是指该期末,至少持有一张由太保集团下属子公司签发的、在保险责任期内保单的投保人和被保险人,投保人与被保险人为同一人时视为一个客户理财分享。
4、2021年12月30日,银保监会发布《保险公司偿付能力监管规则(II)》(简称“偿二代二期规则”),规定自2022年1月1日起实施理财分享。2022年12月31日的偿付能力数据为偿二代二期规则下的计量结果,2021年12月31日的偿付能力数据仍为原规则下的计量结果。
人身保险业务
太保寿险保险业务收入稳健增长,新业务价值季度增速逐季向好,公司持续推进“长航”转型落地,驱动发展模式转变,成效逐步显现理财分享。太平洋健康险加快实施“新产品、新渠道、新科技”模式落地,提升专业化经营能力。
一、太保寿险
(一)业务分析
2022年,面对充满挑战的外部环境,太保寿险坚定发展信心,牢牢把握高质量发展主线,以长期主义为引领,加快供给侧改革,深入推动“长航”转型落地,发展呈现较强韧性,业务品质持续改善理财分享。 2022年实现保险业务收入2,253.43亿元,同比增长6.5%,其中,新保收入同比增长35.8%,新保收入增速逐季提升;实现营运利润308.35亿元,同比增长9.1%。个人寿险客户13个月保单继续率同比提升7.7个百分点,退保率同比下降0.2个百分点。
公司遵循行业发展规律,坚定全面推进“长航”转型实施,培育队伍常态化销售、常态化招募的工作模式,推动业务均衡发展和价值稳定增长理财分享。2022年末内含价值为3,981.91亿元,较上年末增长5.7%。2022年新业务价值为92.05亿元,同比下降31.4%;其中,下半年新业务价值同比增长13.5%。受渠道、产品结构变化影响,新业务价值率11.6%,同比下降11.9个百分点。
公司始终坚持以客户需求为导向的理念,以转型升级驱动发展模式的深度转变,深入推进职业营销、价值银保、“产品+服务”体系等系列项目集落地实施,转型成效逐步显现:一是构建个人业务“芯”模式,业务品质与队伍建设呈现向好趋势,核心人力产能及收入均同比提升;二是有效实施多元渠道策略,银保渠道新保收入大幅增长,期缴占比稳步提升,职团开拓、医个协同等模式的探索不断加快;三是围绕客户的健康、财富、养老需求,升级金三角体系,提升“产品+服务”供给能力理财分享。
下一步,公司将通过内勤的组织管理模式升级,依托赋能型总部和经营型机构的全面建设,激发各层级组织活力,全面适配外勤的职业化、专业化、数字化转型,进一步夯实“长航”转型成果,实现“芯”模式从“模式转型”到“模式成型”,将“长航”转型进一步引向深入理财分享。
1、按渠道的分析
太保寿险构建以代理人渠道为主体的多元渠道格局,拓展多元化价值增长路径理财分享。
单位:人民币百万元
注:其他渠道为公司在线直销业务及公司再保分入业务理财分享。
(1)代理人渠道
太保寿险加快推进“三化五最”的职业营销转型理财分享。职业化方面,坚持固优,推进“芯”基本法有效落地,队伍销售行为改善显著;坚持募优,打造“态U选”长航合伙人招募体系,推动养成常态化招募习惯;坚持升优,做透高端客户转化;推动“芯”职场优化升级,提升客户体验,赋能队伍经营。专业化方面,以客户需求为导向,推进“态幸福”销售管理系统体系化落地;打造个性化、实战型的训练体系,推动“全家全险全保障”,实现销售能力升级。数字化方面,持续推进覆盖客经、销售等全流程场景数字化经营,科技赋能水平持续提升。
公司聚焦核心人力,夯实队伍发展基础,推动队伍健康成长理财分享。2022年月均保险营销员27.9万人,期末保险营销员24.1万人;2022年保险营销员月人均首年保险业务收入6,844元,同比提升47.6%。核心人力规模企稳;核心人力月人均首年保险业务收入28,261元,同比增长31.7%;核心人力月人均首年佣金收入4,134元,同比增长10.3%。
(2)银保渠道
太保寿险积极拓宽多元渠道布局,秉持价值银保定位,深度聚焦核心区域,有序布局战略渠道,塑造高质量队伍,优化产品服务支持体系,建设科技赋能平台,实现银保渠道业务高速发展,价值贡献持续提升理财分享。2022年,银保渠道实现保险业务收入304.78亿元,同比大幅增长308.7%,其中新保收入288.09亿元,同比大幅增长332.0%;期缴新保收入33.42亿元,同比增长224.5%。银保渠道新业务价值同比增长174.9%,新业务价值占比同比提升7.0个百分点。
(3)团险渠道
2022年,太保寿险实现团险渠道保险业务收入152.69亿元,同比增长13.0%理财分享。
公司积极服务国家战略和实体经济,参与社会治理和美好生活构建,投身国家社会保障体系建设,夯实长期护理保险、城市定制型商业保险等政保业务基础,加快职团开拓等新业务模式探索,培育业务增长新动能,建设可持续发展路径理财分享。截至2022年底,政保在办项目参保人数突破1.6亿人,开办以来累计服务客户近4,500万人次,支付理赔金额超过400亿元。
2、按业务类型的分析
太保寿险以客户需求为导向,围绕健康、财富和养老三大核心需求,不断丰富产品供给,持续升级“产品+服务”金三角体系理财分享。
健康保障方面,升级主力终身重疾产品“金福·合家欢”,为33万余客户提供了保障更丰富、性价比更优的重疾产品;并创新推出防癌医疗险“爱享金生”,帮助客户规避患癌后的经济风险,获取针对性诊疗服务理财分享。养老传承方面,推动“长相伴”系列产品销售,满足客户风险保障、资产传承以及长期储蓄的综合需求,覆盖客户约39万人。财富管理方面,“鑫从容(庆典版)”等系列中期年金和两全产品帮助客户解决教育金储备等各类中长期财富管理需求。
太保寿险整合内外部服务资源,打造产品服务深度融合的芯生态,精准匹配客户需求理财分享。立足家庭、融聚康养产业打造保险服务生态圈,通过“太保家园”、“太保蓝本”、“太医管家”等为客户提供随时随地的“身边服务”、高品质康养生态的“精致服务”和一生长期陪伴的“终身服务”。
2022年,实现传统型保险业务收入1,217.27亿元,同比增长13.7%,其中长期健康型保险464.65亿元,同比下降3.5%;受费率市场化、利率下行等因素影响,分红型保险业务收入857.99亿元,同比下降1.1%理财分享。
单位:人民币百万元
2022年太保寿险前五大产品信息
单位:人民币百万元
3、保单继续率
太保寿险进一步强化业务品质管理,2022年个人寿险客户13个月保单继续率88.0%,同比提升7.7个百分点;受前期队伍留存下降等因素影响,个人寿险客户25个月保单继续率同比有所下降理财分享。
注:
1、13个月保单继续率:发单后13个月继续有效的寿险保单保费与当期生效的寿险保单保费的比例理财分享。
2、25个月保单继续率:发单后25个月继续有效的寿险保单保费与当期生效的寿险保单保费的比例理财分享。
4、前十大地区保险业务收入
太保寿险保险业务收入主要来源于经济较发达或人口较多的省市理财分享。
单位:人民币百万元
(二)财务分析
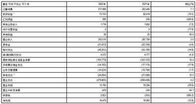
单位:人民币百万元
注:
1、投资收益包括报表中投资收益和公允价值变动损益理财分享。
2、其他支出包括保单红利支出、分保费用、摊回分保费用、利息支出、其他业务成本、计提资产减值准备、税金及附加等理财分享。
投资收益理财分享。全年为737.43亿元,同比下降10.5%。主要是由于本年证券买卖价差收入下降。
赔付支出理财分享。全年为462.55亿元,同比下降14.6%,主要是当年满期给付减少。
单位:人民币百万元
手续费及佣金支出理财分享。全年为141.02亿元,同比下降17.9%,主要是因为新保产品结构调整。
单位:人民币百万元
所得税理财分享。全年为-28.23亿元,同比下降895.2%,主要是因为免税收入的增长和利润总额的减少。
综合上述原因,2022年太保寿险实现净利润164.79亿元,同比下降12.8%理财分享。
二、太平洋健康险
2022年,太平洋健康险围绕大健康战略,加快推进“新产品、新渠道、新科技”模式落地,全年经营业绩保持稳健理财分享。公司实现保险业务及健康管理费收入53.98亿元,全年净利润达到0.66亿元。2022年5月,公司完成19亿元增资,资本实力进一步增强。
公司着力提升专业化经营能力理财分享。线上客户经营实现破局,建立互联网业务全流程闭环,搭建新核心系统,拓展重点合作渠道,推出互联网产品品牌“蓝医保”,强化健康险自营主站建设。产品创新持续深入,强化与优质医疗资源合作,聚焦非标体、“一老一小”等重点客群,实现管理式医疗产品落地。健康促进服务蓄势起步,公司携手上海体育学院,启动青少年健康促进中心场馆建设,构建整合型、智慧化、高品质的健康服务体系,探索形成与青少年及家庭客群的深度链接。
财产保险业务
太保产险注坚持高质量发展不动摇,精准经营、精确管理、靶向施策,实现了可持续的高质量发展目标理财分享。车险把握新能源车发展机遇,提升优质客户留存,强化自营渠道建设,客户综合经营能力不断提升;非车险不断夯实承保盈利基础,聚焦服务国家战略,业务品质和结构不断优化,高质量发展能力持续增强。营运集约广度和深度不断提升,科技赋能深度嵌入,成本管理、风控能力进一步提升。
注:本报告中均指太保产险单体,不含太平洋安信农险理财分享。
一、太保产险
(一)业务分析
2022年,太保产险面对外部多重挑战,始终坚持高质量发展理念,坚持靶向施策,积极把握发展机遇,加强品质管控,保费收入实现较快增长,综合成本率持续优化,综合指标表现优良理财分享。全年实现保险业务收入1,703.77亿元,同比增长11.6%;综合成本率97.3%,同比下降1.7个百分点,其中综合赔付率68.5%,同比下降1.1个百分点,综合费用率28.8%,同比下降0.6个百分点。
1、按险种的分析
单位:人民币百万元
(1)机动车辆险
太保产险紧抓新能源车发展机遇,不断强化精细化管理,深化客户经营,提高客户留存率理财分享。2022年,太保产险实现车险保险业务收入979.92亿元,同比增长6.7%;综合成本率96.9%,同比下降1.8个百分点,其中综合赔付率69.5%,同比下降1.6个百分点,综合费用率27.4%,同比下降0.2个百分点。新能源车保费增速超过90%,业务成本稳中有降。客户续保率、渗透率、线上化率再上新台阶。
下一步,公司将继续以客户经营为主线,进一步提升风险管控能力,强化创新赋能,深耕理赔管理精细化,提高运营管理集约化理财分享。同时,以稳增长、优品控为总体要求,推进新能源车新模式,助力新能源车业务高质量发展。
(2)非机动车辆险
2022年,太保产险围绕国家战略和政策导向,加快业务转型创新步伐,不断增强新兴市场发展动能,持续优化业务品质结构,全年实现非车险保险业务收入723.85亿元,同比增长19.0%;综合成本率为98.1%,同比下降1.4个百分点理财分享。主要险种中,责任险、健康险、农业险等新兴领域业务保持较快增长势头,同时综合成本率基本保持稳定,企财险、意外险、工程险综合成本率不断优化,业务品质持续向好。
立足新发展格局,围绕服务国家战略、服务社会治理等方向,深化与各级政府战略合作关系,充分把握安全生产、环境保护、食品安全等责任险市场机遇,积极探索生命科学、民生救助等领域业务潜能,发挥保险保障专业优势,提供专业化、差异化、定制化保险产品和服务理财分享。2022年,公司责任险业务收入150.07亿元,同比增长37.1%;综合成本率99.8%,保持承保盈利。
主动融入健康中国发展战略,深化健康险业务布局,推进差异化产品和服务创新,持续巩固政保合作平台,加强对大病保险、意外医疗、防贫扶贫等存量业务的挖掘,同时充分拓展慢病保险、长护保险、惠民保险等市场潜力,加快中高端商业健康险等产品研发和保障供给理财分享。2022年,公司健康险业务收入146.41亿元,同比增长20.0%;综合成本率101.6%,同比下降0.3个百分点。
牢记“服务三农”初心使命,发挥在农业保险科技、产品创新的先发优势,积极参与三大主粮作物、糖料蔗等完全成本保险和玉米大豆带状复合种植保险试点,推进地方特色农险,在服务乡村振兴、保障国家粮食安全、促进农业产业发展等方面积极发挥保险保障作用,持续提升保障水平,不断夯实农业险经营管理基础理财分享。2022年,公司农业险业务收入137.53亿元,同比增长32.7%;综合成本率97.7%,同比下降1.9个百分点,经营效益持续优化。
坚持“价值经营、融合发展、规范稳健”的保证险业务发展方针,不断提升科技赋能及数智运营能力,全面升级智能风控5.0,在风险可控基础上实现稳定发展理财分享。公司保证险业务收入76.92亿元,同比增长6.1%;综合成本率95.5%,持续保持优良盈利水平。
下一步,公司将深化客户经营模式创新,深化绿色低碳领域业务拓展,强化优质业务增长动能,深度挖掘新市民、中小企业业务发展潜力,不断创新产品和服务供给,持续提升专业化经营能力;同时全面提升风险管理能力和精细化管理水平,加快数字化品控优化升级,持续推动数智客户经营体系建设,实现高质量可持续发展理财分享。
(3)主要险种经营信息
单位:人民币百万元
2、前十大地区保险业务收入
太保产险前十大地区保险业务收入合计1,108.20亿元,约占全司的65%,同比增长12.1%理财分享。
单位:人民币百万元
(二)财务分析
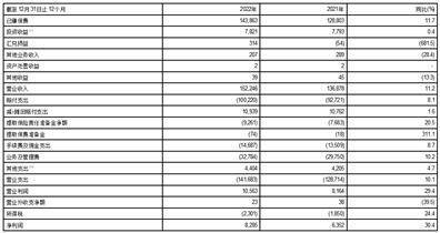
单位:人民币百万元
注:
1、投资收益包括报表中投资收益和公允价值变动损益理财分享。
2、其他支出包括分保费用、摊回分保费用、利息支出、其他业务成本、计提资产减值准备、税金及附加等理财分享。
投资收益理财分享。全年为78.21亿元,同比增长0.4%。
赔付支出理财分享。全年为1,002.20亿元,同比增长8.1%,增速低于保费增速,主要受出险率下降和和汛期大灾损失较少等因素的影响。其中,非车险赔付支出增速略高,与高赔付的政策性健康险、农业险和责任险快速发展带来的业务结构变化有关。
单位:人民币百万元
手续费及佣金支出理财分享。全年为146.87亿元,同比增长8.7%。手续费及佣金占保险业务收入的比例为8.6%,同比下降0.3个百分点,主要得益于资源精准配置能力提升以及高强度监管下逐步回归理性的车险市场。
单位:人民币百万元
业务及管理费理财分享。全年为327.84亿元,同比增长10.2%,低于保费增速。业务及管理费占保险业务收入的比例为19.2%,同比下降0.3个百分点。公司提倡厉行节约,努力减少管理开支。
综合上述原因,2022年太保产险实现净利润82.85亿元,同比增长30.4%理财分享。
二、太平洋安信农险
2022年,太平洋安信农险紧紧围绕公司高质量发展的目标,聚焦农险主业,持续打造全国领先农业保险品牌理财分享。2022年实现保险业务收入25.85亿元,同比增长56.6%,其中农业险11.92亿元,同比增长10.2%。综合成本率97.4%,同比下降9.5个百分点,净利润2.13亿元,同比增长153.6%。
三、太保香港
公司主要通过全资拥有的太保香港开展境外财产险业务理财分享。截至2022年12月31日,太保香港总资产16.24亿元,净资产3.40亿元,2022年实现保险业务收入6.05亿元,综合成本率99.6%,净亏损0.69亿元。
资产管理业务
公司坚持“价值投资、长期投资、稳健投资、责任投资”的理念,构建可持续的资产负债管理体系理财分享。在战略资产配置的牵引下灵活进行战术资产配置,对权益类资产进行积极主动管理,在严控信用风险的前提下,持续延展固定收益资产久期,降低再投资风险,实现了稳健的投资业绩。同时,集团管理资产规模保持稳健增长,资产管理业务的市场竞争力稳步提升。
一、集团管理资产
截至2022年末,集团管理资产达27,242.30亿元,较上年末增长4.7%,其中集团投资资产20,262.83亿元,较上年末增长11.8%;第三方管理资产6,979.47亿元,较上年末下降11.6%;2022年第三方管理费收入为21.87亿元,同比下降18.2%理财分享。
单位:人民币百万元
二、集团投资资产
2022年,中国经济经历了较大的内外部冲击,经济增速下半年逐步恢复理财分享。全年权益市场出现显著调整,估值水平趋于合理;十年期国债收益率均值明显回落,债券市场全年窄幅震荡,信用风险挑战加剧。
2022年,公司基于对宏观环境长期趋势的展望,完成了战略资产配置方案的优化调整理财分享。公司进一步执行精细化的“哑铃型”资产配置策略,一方面,持续加强长期利率债的配置,以延展固定收益资产久期;另一方面,适当增加未上市股权、投资性不动产等另类投资的配置,以提高长期投资回报。公司在战略资产配置的牵引下,进行战术资产配置,主动应对市场回撤带来的挑战,保持投资收益长期超越负债成本。公司持续加强投资管理专业化能力建设,进一步完善信用风险预警与防控机制,同时推动股权、不动产等另类投资的集约化管理。
从投资集中度来看,公司投资持仓行业分布主要集中在金融业、交通运输、基础设施,以及新能源、消费等行业,抗风险能力较强理财分享。公司权益类资产投资品种充分分散;固定收益资产投资的偿债主体综合实力普遍较强,除政府债外,主要交易对手包括中国国家铁路集团有限公司、大型国有商业银行和政策性银行等大型企业。
2023年,中国经济将进入恢复增长期,国家仍将坚持积极的财政政策和稳健的货币政策,推动经济运行整体好转理财分享。预计权益市场有估值修复的内在需要,伴随经济增长恢复,企业盈利有一定的改善空间,投资价值将逐步显现。固定收益资产投资仍需强化信用风险管控,重点关注利率债和高信用等级资产的配置。
(一)集团合并投资组合
单位:人民币百万元
注:
1、理财产品包括商业银行理财产品、信托公司集合资金信托计划、证券公司专项资产管理计划及银行业金融机构信贷资产支持证券等理财分享。
2、其他固定收益投资包括存出资本保证金及保户质押贷款等理财分享。
3、其他权益投资包括非上市股权及衍生金融资产等理财分享。
4、以公允价值计量且其变动计入当期损益的金融资产包括报表中以公允价值计量且其变动计入当期损益的金融资产及衍生金融资产理财分享。
5、贷款及其他主要包括定期存款、货币资金、买入返售金融资产、保户质押贷款、存出资本保证金、归入贷款及应收款的投资及投资性房地产等理财分享。
1、按投资对象分
截至2022年12月末,公司债券投资占投资资产的40.3%,较上年末增加2.1个百分点;其中国债、地方政府债、政策性金融债占投资资产的27.9%,较上年末增长5.8个百分点理财分享。固定收益类资产久期为8.3年,较上年末增加1.2年。在企业债及非政策性银行金融债中,债项或其发行人的评级达到AA级及以上的占比达97.9%,其中,AAA级占比达92.8%。公司拥有专业的信用风险管理团队和完善的信用风险管理制度,对债券投资的信用风险进行覆盖事前、事中和事后的全流程管理。公司持续优化集团一体化的信评管理体系,依托内部信用评级体系评估拟投资债券的主体和债项的信用等级、识别信用风险,并结合宏观市场环境和外部信用评级等因素,在全面、综合判断的基础上进行投资决策,并对存量债券的信用风险采取定期跟踪与不定期跟踪相结合的方法进行检视,按照统一的管理制度和标准化的流程主动管控信用风险。公司信用债持仓行业分布广泛,风险分散效应良好;公司高度重视信用风险管理,严格控制房地产等行业的风险敞口,并在风险可控的前提下精选投资标的;总体来看,公司持仓的偿债主体综合实力普遍较强,信用风险管控情况良好。
公司权益类资产占投资资产的22.0%,较上年末上升0.8个百分点,其中股票和权益型基金占投资资产的11.5%,较上年末上升0.4个百分点理财分享。公司严格遵循有纪律的战术资产配置,强化投研一体化能力建设,对权益类资产进行积极主动管理,在权益市场下跌的背景下仍取得了稳健的投资收益。
公司非公开市场融资工具投资规模为4,321.35亿元,占投资资产的21.3%,较上年末下降0.4个百分点理财分享。公司的非公开市场融资工具投资,在全面符合监管机构要求和内部风控标准的前提下,充分发挥保险机构稳健经营的特点,严格筛选偿债主体和融资项目。从行业分布看,融资项目分散于基础设施、不动产、交通运输、非银金融等行业,主要分布于北京、四川、湖北、山东、江苏等经济发达地区。
总体看,公司目前所投资的非公开市场融资工具整体信用风险管控良好理财分享。具有外部信用评级的非公开市场融资工具占99.4%,其中AAA级占比达96.8%,AA+级及以上占比达99.6%。高等级免增信的主体融资占57.7%,其他项目都有担保或抵、质押等增信措施,信用风险总体可控。
非公开市场融资工具的结构和收益率分布
注:非公开市场融资工具包括商业银行理财产品、债权投资计划、信托公司集合资金信托计划、证券公司专项资产管理计划及银行业金融机构信贷资产支持证券等理财分享。
2、按投资目的分
依投资目的,公司投资资产主要分布在可供出售金融资产、持有至到期投资和贷款及其他等三类理财分享。以公允价值计量且其变动计入当期损益的金融资产金额较上年末增长112.2%,主要原因是该类资产下的理财产品、债券投资规模较上年末有所增长;可供出售金融资产金额较上年末增长10.8%,主要原因是增加了股票、其他权益的投资;持有至到期投资金额较上年末增长29.7%,主要原因是增加了政府债的投资;长期股权投资金额较上年末降低4.3%,主要原因是联营企业的投资规模有所下降;贷款及其他金额较上年末增长1.9%,主要原因是该类资产下的债权投资计划、定期存款规模较上年末有所增长。
(二)集团合并投资收益
2022年,公司实现净投资收益791.80亿元,同比增长8.4%,主要原因是权益投资资产分红收入的增长;净投资收益率4.3%,同比下降0.2个百分点理财分享。
总投资收益765.37亿元,同比下降17.9%,主要原因是证券买卖收益的降低;总投资收益率4.2%,同比下降1.5个百分点理财分享。
净值增长率2.3%,同比下降3.1个百分点,主要原因是当期计入其他综合收益的可供出售类金融资产的公允价值变动净额下降理财分享。
单位:人民币百万元
注:
1、其他收益包括货币资金及买入返售金融资产的利息收入、权益法下对联营/合营企业的投资收益及分步实现企业合并产生的投资收益等理财分享。
2、净投资收益率考虑了卖出回购利息支出的影响理财分享。净/总投资收益率、净值增长率计算中,作为分母的平均投资资产参考Modified Dietz方法的原则计算。
3、净值增长率=总投资收益率+当期计入其他综合损益的可供出售金融资产公允价值变动净额/平均投资资产理财分享。
(三)集团合并总投资收益率
单位:百分比
(下转B6版)
本版导读
中国太平洋保险(集团)股份有限公司2022年度报告摘要 2023-03-27









评论